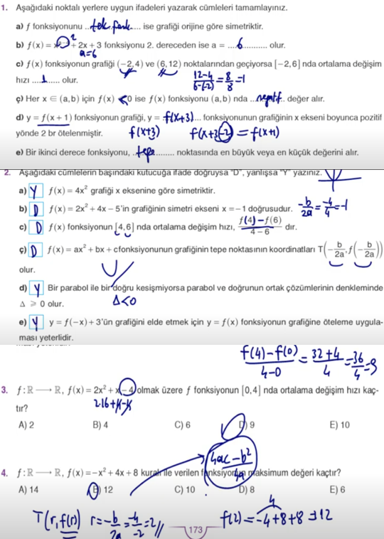
11. Sınıf Sdr Dikey Yayıncılık Matematik Ders Kitabı Sayfa 173 Cevapları sitemizde.
11. Sınıf Sdr Dikey Yayıncılık Matematik Ders Kitabı Sayfa 173 cevapları, ödevlerinize yardımcı olmak için aşağıda verilmiştir. 11. sınıf Matematik Ders Kitabı sayfa 173 cevapları Sdr Dikey Yayıncılık hemen görün.
Web sitemiz, eğitim hayatınızdaki tüm aşamalarda size yardımcı olmayı amaçlamaktadır; bu yüzden sunduğumuz kaynaklar, öğrencilerin karşılaştığı zorluklara karşı güçlü bir destek sunarak, öğrenim süreçlerini daha etkili bir şekilde ilerletmelerine olanak tanımaktadır.
11. Sınıf Sdr Dikey Yayıncılık Matematik Ders Kitabı Sayfa 173 Cevapları

